Çeşitkenar Üçgenin Alanı Nasıl Bulunur? Çeşitkenar Üçgenin Alan Hesaplama Formülü Nedir, Nasıl Hesaplanır?
Üçgenler temel olarak kendi içinde 3’e ayrılmaktadır: Eşkenar, ikizkenar ve çeşitkenar. Çeşitkenar üçgen, her bir kenarının uzunluğu birbirinden farklı olan, özel bir üçgen türü olarak karşımıza çıkmaktadır. Çeşitkenar üçgenler farklı hesaplamalara neden oldukları için geometri sınavlarında özellikle tercih edilmektedir. Zira bunların hesaplamaları, diğerlerine göre biraz daha zordur. Peki çeşitkenar üçgenin alanı nasıl bulunur? İşte çeşitkenar üçgenin alan hesaplama formülü ile birlikte, bu sorunun yanıtı!
Çeşitkenar üçgenin her bir kenarının uzunluğu birbirinden farklı olmak zorundadır. Bu nedenle çeşitkenar üçgenin iç açılarının her biri de, diğerinden farklıdır. Örneğin geometride sıklıkla kullanılan 3-4-5 üçgeni, bir çeşitkenar üçgendir. Çeşitkenar üçgende özünde bir üçgendir, bu nedenle hesaplamalarda üçgenlere ait formüller uygulanmaktadır. Bu durum alan hesaplamaları içinde geçerlidir.
ÇEŞİTKENAR ÜÇGENİN ALANI NASIL BULUNUR?
Üçgenlerde genel olarak alan hesaplaması taban ile yükseklik uzunluğunun çarpımının yarısıdır. Bu formül aslında çeşitkenar üçgenler için de geçerlidir. Çeşitkenar üçgenin alanını bulmak için herhangi bir kenarın uzunluğunu ve o kenara ait yüksekliği bilmek yeterlidir. Bu durumlarda hesaplama yapmak için üçgen alan formülünü kullanmak yeterlidir. Lakin bazı durumlarda, çeşitkenar üçgenin kenar uzunlukları bilinmesine rağmen, yükseklik bilinmemektedir. İşte bu durumda çeşitkenar üçgenin alanını hesaplamak biraz farklı bir yola tabidir. Yüksekliği bilinen bir çeşitkenarın alanı şu şekilde hesaplanmaktadır:
Alan= h X b / 2
Yüksekliği bilinmeyen çeşitkenar üçgenin alanını bulmak için izlenen yol şu şekildedir. Önce kenar uzunlukları toplanarak üçgenin çevre uzunluğu elde edilmelidir. Daha sonra ise bu üçgenin çevre uzunluğu ikiye bölünmelidir. Buradan elde edilen sonucu bir harfle adlandırmakta fayda vardır (örneğin "s" harfi ile) Daha sonra ise çıkan bu sonuç formülde yerine yazılarak hesaplama yapılmaktadır. Çeşitkenar üçgenin alan formülünü bir şekil ile göstermek gerekirse;

Yukarıda bir çeşitkenar üçgen verilmiştir. Bu çeşitkenar üçgenin kenarları "a", "b" ve "c" olarak adlandırılmıştır. Be çeşitkenar üçgenin alanı hesaplanması için önce tüm kenar uzunlukları toplanmalıdır. Yani a + b + c işlemi yapılmalıdır. Çıkan sonucun yarısı ise "s" olarak adlandırılmaktadır.
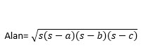
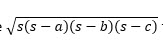
Bundan sonra ise
formülü uygulanmalıdır. Böylece çeşitkenar üçgenin alanı elde edilmektedir.
Geniş açılı üçgenin alanını bulma
Geniş açılı üçgenin alanını bulma, aslında bir üçgenin alanını bulmakla aynı formüle sahiptir. Yani geniş açılı üçgenin alanı, taban ile yükseklik çarpımının yarısına eşittir. Lakin geniş açılı üçgenlerde önce yüksekliği bulmak gerekmektedir. Bunu şekil ile anlatmak daha kolay olacaktır;
ALAN= h X b / 2
Yukarıda geniş açılı bir üçgen verilmiştir. Geniş açılı bir üçgende yükseklik yukarıdaki "h" doğrusu şeklinde çizilerek oluşturulabilmektedir. Gerekli matematiksel işlemlerle ve genellikle Pisagor bağlantısı ile üçgenin yüksekliği, yani "h" değeri kolayca bulunabilmektedir. Daha sonra ise üçgen alan hesaplama formülü ile, geniş açılı üçgenin alanı bulunabilmektedir.