İki Nokta Arası Uzaklık Formülü - Analitik Geometride İki Nokta Arasındaki Uzaklık Nasıl Bulunur Ve Hesaplanır?
Öğrencilerin ve matematik ile yakından ilgilenenlerin, iki nokta arası uzaklık formülü ile ilgili merak ettiği noktalar vardır. Özellikle lise ve üniversite sınavlarına hazırlanan öğrenciler, iki nokta arasındaki uzaklık nasıl bulunur ve hesaplanır diye araştırabilir. Belli başlı formüller sayesinde iki nokta arasındaki uzaklık bulunabilir. Analitik Geometri iki nokta arası uzaklık formülü, üzerinde en çok düşünülen konulardan biridir. İki nokta arası uzaklık nasıl bulunur cevabı yazımızda…
İki nokta arası uzaklık, ortaöğretim sayısal bölümü ve üniversitede matematik, mühendislik, mimarlık gibi bölümlerde okuyan öğrencilerin kafasını kurcaladığı bir problemdir. Kolay bir şekilde sonuca ulaşmak istenildiği için iki nokta arası uzaklık formülü bilinmesi gerekir. Denklem formunda olan bu formül, öğrencilerin işini büyük ölçüde kolaylaştırır. İki nokta arasındaki uzaklık formülü, Geometri alanının bir alt dalı olan Analitik Geometrinin incelediği bir konudur. İşte iki nokta arası uzaklık formülüne dair detaylar…
İki Nokta Arası Uzaklık Formülü Nasıl Hesaplanır?
Kartezyen bir düzlemde yatay veya dikey segmentlerin uzunluğu, sadece koordinatlarının okunması ile bulunabilir. Fakat diyagonal bir segment için aynı şey söz konusu değildir. Pisagor teoreminin bir uygulaması olan iki nokta arasındaki mesafe için formül kullanmak gerekir.
İyi bir şekilde kavramak ve uygulamak için aranılan uzunluğun, aynı zamanda bir dik üçgenin hipotenüsü olduğu düşünülerek göz önünde canlandırılabilir. Son derece kolay anlaşılır bir geometri formülü sayesinde, ortonormal koordinat sistemindeki uzunluk ölçüleri sorun yaşanmadan ölçülebilir.
İki Nokta Arası Uzaklık Formülü Nedir?
İki noktanın koordinatları biliniyorsa, tanımladıkları segmentin uzunluğunu hesaplamak mümkündür. Kartezyen düzlem üzerindeki iki nokta arasındaki uzunluk, bir noktayı birleştiren en küçük segmentin uzunluğudur.
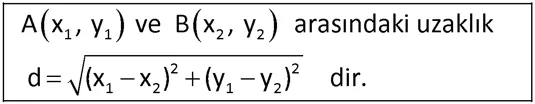
İki nokta arasındaki uzaklık formülü,
- A=(x1, y1) B=(x2, y2) şeklindedir. |ab| segmentin uzunluğuna karşılık gelir ve iki noktanın kareleri arasındaki farkların kareköklerine denktir. A ve B arasındaki mesafe, B ve A arasındaki mesafe ile aynıdır, bu nedenle formüldeki noktaların sırası önemli değildir.
Aşağıdaki formülü kullanarak Kartezyen düzlemin iki noktası arasındaki mesafeyi hesaplamak mümkündür:
