Rasyonel sayılarda toplama işlemi ve örnekleri: Rasyonel sayılarda toplama nasıl yapılır?
Rasyonel sayılar çok temel bir matematik konusudur ve öğrenciler tarafından öğrenilmesi gerekmektedir. Matematik ile ilgili en temel konulardan biri olan rasyonel sayılar oldukça kolay olmasına karşın bazı detaylar içermektedir. Rasyonel sayıların bir alt konusu da rasyonel sayılarda toplama işlemidir. Rasyonel sayılarda toplama yaparken dikkat etmek zorunda olduğumuz bazı kurallar bulunmaktadır. Eğer kurallara tamamen uyarsak rasyonel sayılar anlaması oldukça kolay bir konudur. Peki ya rasyonel sayılarda toplama işlemi nasıl yapılır?
Rasyonel sayılarda toplama işlemi yapmak için belli kurallara gerek duyarız. Rasyonel sayılar, alt konular olarak rasyonel sayılarda çıkarma, bölme, çarpma ve toplama gibi konulara ayrılmaktadır. Rasyonel sayılarda toplama, paydanın eşit olduğu ve olmadığı durumlarda farklılıklar göstermektedir. Rasyonel sayılarda toplama işlemini derinlemesine öğrenebilmeniz için konuyu yazıda tüm detaylarıyla anlattık.
Rasyonel Sayılarda Toplama
Rasyonel sayılarda toplama işlemi yaparken öncelikle paydalara bakmamız gerekmektedir. Eğer paydalarımız eşitse direkt işleme geçilir. Fakat paydalar eşit değilse önce paydalar eşitlenir ve sonra toplamaya geçilir. Öğrenciler arasında payda eşitlemek ilk görüldüğünde belki zor gibi anlaşılabilir fakat aşağıda da vereceğimiz örneklerle görülecek ki aslında payda eşitleme işleminin çok basit bir mantığı vardır ve yapması oldukça kolay bir işlemdir.
Rasyonel Sayılarda Toplama Nasıl Yapılır?
Öncelikle rasyonel sayılarda pay ve paydanın yerini hatırlayalım.

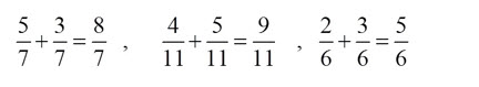
Eğer paydalar eşitse, işlemi yapmak oldukça kolaydır. Aşağıda örneklerini görebilirsiniz. Paydası eşit olan kesirlerde yapılması gereken tek işlem payları toplamaktır.

Rasyonel sayılarda payda eşitlerken paydaları birbirine çarparak basit bir şekilde payda eşitleme yapabilir ve toplama işlemini örnekteki gibi gerçekleştirebiliriz.
