Termodinamik nedir? Termodinamik yasaları nelerdir?
Isı, iş, sıcaklık ve enerji arasındaki ilişkiyi ele alan bir bilim dalıdır. Transfer anlamına da gelen termodinamik, enerjinin bir yerden başka yere veya bir biçimden başka biçime transfer işlemini ifade eder. Termodinamik, Yunanca kelimelerden üretilmiş bir tabirdir. Türkçe kaynaklarda ısıl devingi olarak da bilinir. Enerji, ısı, iş, entropi ve ekserji gibi fiziksel kavramlarla ilgilendiği için termodinamik yasaları ortaya çıkmıştır. Termodinamik yasaları konusunu ele aldık. Termodinamik nedir? İşte bu konu hakkında detaylı bilgiler…
Termodinamik, enerji ve enerji şekilleri arasında ilişkiyi inceleyen bilim adı olarak karşımıza çıkmakta. Termodinamik kullanım alanlarına bakacak olursak; otomobil motorları, roket ve jet motorları, buhar türbinleri, uçaklar, uzay araçları gibi sıralayabiliriz. İnsan vücudu da termodinamiğin uygulama alanlarından biri. Bilgisayar, televizyon, su ısıtıcısı, ütü, tencere gibi günlük hayatta kullandığımız araçlarda da termodinamik etkilerini görebiliriz. Termodinamik nedir? Merak edilenleri ayrıntılı derledik. İşte termodinamik yasaları…
TERMODİNAMİK NEDİR?
Isı, sıcaklığı ve enerjiyi konu alan bilim dalına termodinamik denir. Termodinamik daha açıklayıcı bir tabiri ise; enerjiyi bir yerden başka bir yere transfer edilmesinde görev yapan araçtır. Aynı şekilde ısıyı da transfer eder. Genel geçer olarak termodinamik yasaları ortaya çıkarılmıştır. 19. yüzyılda başlayan çalışmalar sanayi devrimi ile geliştirilmeye çalışılmıştır. Buhar makinesi gibi yeni keşfedilen ürünlerde termodinamik biliminden yararlanmışlardır.
TERMODİNAMİK YASALARI
Termodinamik yasaları 4 bölümünden oluşmaktadır. Sıfırıncı, birinci, ikinci ve üçüncü yasa olarak bilinir.
Sıfırıncı yasa
İki sistem birbirleriyle etkileşirken durumları değişmiyorsa dengede oldukları söylenir. İki sistem, üçüncü bir sistemle ayrı ayrı dengedelerse, bu sistemler kendi aralarında da dengededir.
Birinci yasa
Enerji yaratılamaz ya da yok edilemez, ancak bir biçimden başka bir biçime dönüşebilir.
İkinci yasa
Isı, soğuk bir bölgeden sıcak bir bölgeye anında akamaz; başka bir deyişle, belirli bir sıcaklık derecesindeki ısı, tamamen işe dönüşemez.
Üçüncü yasa
Sıcaklık mutlak sıfıra yaklaşırken entropi sıfıra yakınsar. Mutlak sıfır sıcaklığı Celsius ölçeğinde -273,15 dereceye, Kelvin ölçeğinde ise 0 dereceye karşılık gelir.
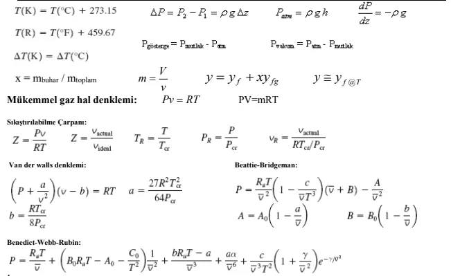
TERMODİNAMİK TABLOLAR
Termodinamik hemen hemen bütün mühendislik dallarını ilgilendirir. İş hayatında veya öğrencilik döneminde karşımıza çıkan problemleri termodinamik tablolarla yardımı ile çözebiliriz.
TERMODİNAMİK YASASI FORMÜLLERİ





