CHP’li belediyeyi karıştıran rapor! Vatandaşın paraları hizmete değil faize akmış!

İzmir'de geçtiğimiz aylarda yaklaşık 300 işçinin maaş farkı zammını ödeyemeyen CHP'li Urla Belediyesi'nde 2024 faaliyet raporu belediyenin mali durumunun nasıl kötüye gittiğini gözler önüne serdi. Urla Belediyesi'nde paraların hizmete değil faize gittiği ortaya çıktı.

01 CHP’li belediyeyi karıştıran rapor! Vatandaşın paraları hizmete değil faize akmış!

İzmir'de geçtiğimiz aylarda yaklaşık 300 işçinin maaş farkı zammını ödeyemeyen CHP'li Urla Belediyesi'nde 2024 faaliyet raporu belediyedeki yönetim beceriksizliğini ortaya çıkardı. 2024 yerel seçimlerinde yüzde 70'in üzerinde oy alan CHP'li Başkan Selçuk Balkan Urla Belediyesi'ni mali açıdan her geçen gün daha da zora sokuyor.

02 CHP’li belediyeyi karıştıran rapor! Vatandaşın paraları hizmete değil faize akmış!

ÇOK SERT TEPKİ

2024 faaliyet raporu hakkında konuşan AK Parti Urla Belediye Meclis Üyesi Ümit Arslan, çok sert tepki gösterdi. Arslan, "Süslü kelimelere değil, rakamların yalın gerçeğine bakıyoruz. Belediyenin mali durumu kötü.

03 CHP’li belediyeyi karıştıran rapor! Vatandaşın paraları hizmete değil faize akmış!

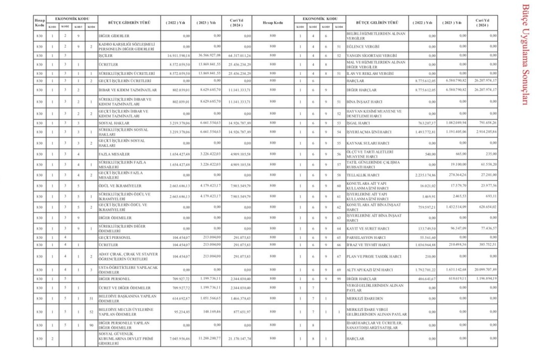
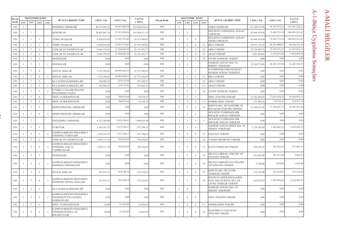
Urla Belediyesi'nin faiz giderleri 3 lira 26 kuruştan 11 milyon liraya çıktı. Bu, Urlalının parası hizmete değil faize akıtılmış demektir. Belediye, kendi bütçesini yönetememiş, beceriksizliğinin faturasını vatandaşın sırtına yüklemiştir" diye konuştu.

04 CHP’li belediyeyi karıştıran rapor! Vatandaşın paraları hizmete değil faize akmış!

GİDERLER YÜZDE YÜZ ARTTI

Belediyenin mal ve hizmet alım giderlerinin yüzde yüzün üzerinde arttığına vurgu yapan Arslan, "Bu, kontrolsüz harcamanın açık itirafıdır. Bu artışın arkasında neyin olduğu açıklanmıyor.

05 CHP’li belediyeyi karıştıran rapor! Vatandaşın paraları hizmete değil faize akmış!

Urla İnşaat Turizm İnsan Kaynakları Sanayi Ticaret Ltd. Şirketi (URİT) üzerinden yapılan istihdam ve yapılan ödemeler şeffaf bir şekilde kamuoyuna açıklanmıyor. Şeffaflık nerede? Bu şirkete ne kadar ödeme yapıldı? Toplam giderler 132 milyon TL'den 278 milyon TL'ye fırladı.

06 CHP’li belediyeyi karıştıran rapor! Vatandaşın paraları hizmete değil faize akmış!

Bu iki katına çıkan bütçeyle Urla'da ne değişti? Vatandaşın hayatında ne kolaylaştı?" ifadelerine yer verdi.

07 CHP’li belediyeyi karıştıran rapor! Vatandaşın paraları hizmete değil faize akmış!

HALA PERSONEL ALIMI YAPIYORLAR

Personel giderlerinin yüzde 40'ı aşmasına rağmen yeni alımların yapılmasını, kamu kaynaklarının israfı olarak nitelendiren Arslan, "Personel giderlerinin arttığı bir dönemde, hala alım yapılması kamu kaynaklarının pervasızca harcandığını gösteriyor.

08 CHP’li belediyeyi karıştıran rapor! Vatandaşın paraları hizmete değil faize akmış!

Eğlence vergisi tahsilatı, Urla gibi bir kent için komik bir rakam. Ya takip yapılmamıştır ya da birileri bilerek görmezden gelmiştir. Her iki durum da ağır bir yönetim zaafıdır. Belediyeye ait taşınmazlar ihale edilmek yerine keyfi şekilde kullandırılmaktadır." dedi.

09 CHP’li belediyeyi karıştıran rapor! Vatandaşın paraları hizmete değil faize akmış!

O PARA NEREDE?

Planlanan ve gerçekleşen bütçe arasında yüzde 40'a yakın sapma olduğuna dikkat çeken Arslan, "Bu fark ya öngörüsüzlük ya da bilinçli manipülasyonun sonucudur.

10 CHP’li belediyeyi karıştıran rapor! Vatandaşın paraları hizmete değil faize akmış!

E-arşiv sistemi için bütçe ayrılmasına rağmen sistem kurulmadı. O para nerede? Urla halkı artık şeffaflık, hesap verebilirlik ve liyakatli bir yönetim istiyor.

11 CHP’li belediyeyi karıştıran rapor! Vatandaşın paraları hizmete değil faize akmış!

Bu faaliyet raporu, yönetimin 'faaliyet değil fiyasko' ürettiğinin en net kanıtıdır. Bu halk, günü geldiğinde bu hesabı mutlaka soracaktır" diye vurguladı

Sabah.com.tr Uygulamamızı İndirin

Uygulamalara Özel Ayrıcalıkları Keşfedin!